Background: In sickle cell anaemia (SCA), the spleen is one of the first organs to be damaged. The unique environment of the spleen particularly challenges red blood cell (RBC) deformability, causing constant intrasplenic sickling and recurrent splenic ischaemia from early childhood. It is well-established that splenic function is lost within the first years of life in most children with SCA. Spleen size, however, varies significantly and the determinants of phenotypical variations are not fully understood. Multiple genetic and external factors may contribute to spleen size in SCA. High levels of haemoglobin F (HbF) and co-inheritance of α-thalassaemia have been associated with persistent splenomegaly, as has the presence of irreversibly sickled cells. In this study we assessed the relationship between RBC deformability, spleen size and splenic filtration function in children with SCA.

Methods: We recruited children aged 0 to 16 years with a confirmed diagnosis of SCA (HbSS) from the paediatric haematology clinic at King's College Hospital in London between December 2018 and January 2019. Children were excluded from the study if they had previously undergone surgical splenectomy or if they had received any blood transfusions within three months of study recruitment. If children were receiving hydroxycarbamide treatment at the time of recruitment, therapy for less than three months also warranted study exclusion. Measurements of spleen size were obtained for all children using abdominal ultrasound. All ultrasound examinations were performed in clinic by a single examiner to ensure comparability of results. Splenic function was assessed by manual pitted RBC counts. RBCs were fixed in 2% PBS-buffered paraformaldehyde on the day of venepuncture and differential interference contrast (DIC) microscopy was performed within three months of sampling. A minimum of 500 consecutive RBCs were counted for each sample and the proportion of cells with one or more pits was expressed as a percentage of the total number of counted cells (%PIT). RBC deformability was measured using the Oxygenscan module of the Laser Optical Rotational Red Cell Analyser (Lorrca, RR Mechatronics, Zwaag, The Netherlands). Samples for deformability analyses were stored at 4°C and analysed between 24 and 48h from sampling.

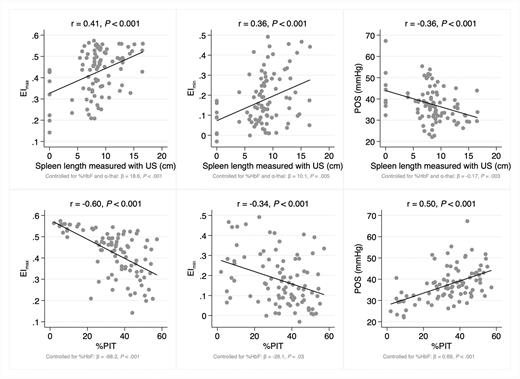
Results: A total of 91 children were included in the study. Ages ranged from 7 months to 16 years, with a mean age of 8.4 years. Of the 91 children, 43 (47.3%) were treated with hydroxycarbamide. Data on α-thalassaemia genotype were available for 88 children: 7 were homozygous for the 3.7 kb deletion, 33 were heterozygous for the 3.7 kb deletion and 47 had no detected deletions. RBC deformability expressed as the elongation index (EI) at normal oxygen tensions (EImax) and after deoxygenation (EImin) was found to correlate positively with spleen length (EImax: r = 0.41, P < 0.001; EImin: r = 0.36, P < 0.001), and the point of sickling (POS) to correlate negatively with spleen length (r = -0.36, P < 0.001). Results for EImax, EImin and POS remained significant when adjusting for %HbF and α-thalassaemia genotype in multiple linear regression models (EImax: P < 0.001; EImin: P = 0.005; POS: P = 0.003).

EImax and EImin both correlated negatively with %PIT (EImax: r = -0.60, P < 0.001; EImin: r = -0.34, P < 0.001) and POS correlated positively with %PIT (r = 0.50, P <0.001). Results for EImax, EImin and POS remained significant when adjusting for %HbF in multiple linear regression models (EImax: P < 0.001; EImin: P = 0.03; POS: P < 0.001).

Conclusions: We assessed the association between RBC deformability measured using oxygen gradient ektacytometry, spleen size and splenic filtration in 91 children with SCA. Results suggested that children with larger spleens had improved RBC deformability, expressed as a higher EImax and EImin, and increased RBC tolerance to deoxygenation, expressed as a lower POS. Results also suggested that improved deformability and increased RBC tolerance to deoxygenation was associated with improved splenic filtration, expressed as a lower %PIT. Although it is difficult to interpret the causal relationship between RBC deformability and splenic injury, our results indicate that decreased deformability contributes to loss of splenic filtration as well as phenotypical variations in spleen size in children with SCA.

Glenthøj:Celgene: Consultancy; Agios: Consultancy, Membership on an entity's Board of Directors or advisory committees; bluebird bio: Consultancy, Membership on an entity's Board of Directors or advisory committees; Novartis: Consultancy, Membership on an entity's Board of Directors or advisory committees; Novo Nordisk: Consultancy, Membership on an entity's Board of Directors or advisory committees; Pharmacosmos: Consultancy, Membership on an entity's Board of Directors or advisory committees; Saniona: Research Funding; Sanofi: Research Funding; Bristol Myers Squibb: Consultancy, Membership on an entity's Board of Directors or advisory committees.

Author notes

*

Asterisk with author names denotes non-ASH members.

Sign in via your Institution